Part Number Hot Search : 
85254 C5048 41070 M37478 30F5013 1782FA TR3100 025AT
Product Description
Full Text Search

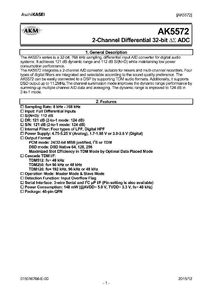
AK5572EN -    2-Channel Differential 32-bit ?? ADC    2-Channel Differential 32-bit ADC

AK5572EN_8930272.PDF Datasheet


 Full text search :    2-Channel Differential 32-bit ?? ADC    2-Channel Differential 32-bit ADC
 Product Description search :    2-Channel Differential 32-bit ?? ADC    2-Channel Differential 32-bit ADC


 Related Part Number
PART Description Maker
HI4-0508A-8 16-Channel, 8-Channel, Differential 8-Channel and Differential 4-Channel, CMOS Analog MUXs with Active Overvoltage Protection; Temperature Range: -55°C to 125°C; Package: 20-LCC 8-CHANNEL, SGL ENDED MULTIPLEXER, CQCC20
Intersil, Corp.
FDMQ8203 100V Dual N-Channel and Dual P-Channel PowerTrenchMOSFET, GreenBridgeSeries of High-Efficiency Bridge Rectifiers
GreenBridgeTM Series of High-Efficiency Bridge Rectifiers Dual N-Channel and Dual P-Channel PowerTrench? MOSFET N-Channel: 100 V, 6 A, 110 mΩ P-Channel: -80 V, -6 A, 190 mΩ
Fairchild Semiconductor
PHN210T Dual N-channel TrenchMOS intermediate level FET 3.4 A, 30 V, 0.1 ohm, 2 CHANNEL, N-CHANNEL, Si, POWER, MOSFET, MS-012AA
NXP Semiconductors N.V.
FDP100N10 N-Channel PowerTrenchMOSFET 75 A, 100 V, 0.01 ohm, N-CHANNEL, Si, POWER, MOSFET, TO-220AB
N-Channel PowerTrench㈢ MOSFET
N-Channel PowerTrench? MOSFET
Fairchild Semiconductor, Corp.
6AM14 Silicon N-Channel/P-Channel Power MOS FET Array 硅N-Channel/P-Channel功率MOS FET阵列
Hitachi,Ltd.
HITACHI[Hitachi Semiconductor]
TD9944 TD9944TG Dual N-Channel Enhancement-Mode Vertical DMOS FETs 240 V, 2 CHANNEL, N-CHANNEL, Si, SMALL SIGNAL, MOSFET, MS-012AA
Supertex, Inc.
SUTEX[Supertex, Inc]
ADG508ABCHIPS ADG508AKRZ ADG509AKPZ ADG509AKRZ ADG CMOS 8-Channel Analog Multiplexer; Package: CHIPS OR DIE; No of Pins: -; Temperature Range: Industrial 8-CHANNEL, SGL ENDED MULTIPLEXER, UUC16
CMOS 4-/8-Channel Analog Multiplexers
4-CHANNEL, DIFFERENTIAL MULTIPLEXER, PQCC20
4-CHANNEL, DIFFERENTIAL MULTIPLEXER, PDSO16
Analog Devices, Inc.
ANALOG DEVICES INC
SIZ710DT-T1-GE3 N-Channel 20 V (D-S) MOSFETs
16 A, 20 V, 0.0068 ohm, 2 CHANNEL, N-CHANNEL, Si, POWER, MOSFET 6 X 3.73 MM, HALOGEN FREE AND ROHS COMPLIANT, LEADLESS, POWERPAIR, 6 PIN
Vishay Siliconix
Vishay Intertechnology, Inc.
SIZ730DT-T1-GE3 N-Channel 30 V (D-S) MOSFETs
35 A, 30 V, 0.0053 ohm, 2 CHANNEL, N-CHANNEL, Si, POWER, MOSFET 6 X 3.70 MM, HALOGEN FREE AND ROHS COMPLIANT, LEADLESS, POWERPAIR, 6 PIN
Vishay Siliconix
Vishay Intertechnology, Inc.
BA3506AF-DXT1 BA3420AL-DX BA3410AF-DXE1 BA5412-DX 0.069 W, 2 CHANNEL, AUDIO AMPLIFIER, PDSO18
2 CHANNEL, AUDIO PREAMPLIFIER, PZIP18
1 CHANNEL, AUDIO PREAMPLIFIER, PDSO16
2 CHANNEL, AUDIO AMPLIFIER, PSIP12
PLL FREQUENCY SYNTHESIZER, 130 MHz, PDSO20
1 CHANNEL, AUDIO PREAMPLIFIER, PSIP7
5 W, 2 CHANNEL, AUDIO AMPLIFIER, PSIP12

SIZ790DT-T1-GE3 Dual N-Channel 30 V (D-S) MOSFETs with Schottky Diode
16 A, 30 V, 0.0093 ohm, 2 CHANNEL, N-CHANNEL, Si, POWER, MOSFET 6 X 3.70 MM, HALOGEN FREE AND ROHS COMPLIANT, POWERPAIR, 6 PIN
Vishay Siliconix
Vishay Intertechnology, Inc.
 
 Related keyword From Full Text Search System
AK5572EN analog devices AK5572EN informacion de AK5572EN Interrupt AK5572EN port AK5572EN adc
AK5572EN infineon AK5572EN Description AK5572EN synchronous AK5572EN prezzo baumer AK5572EN Interface
 

 

Price & Availability of AK5572EN

All Rights Reserved © IC-ON-LINE 2003 - 2022  

[Add Bookmark] [Contact Us] [Link exchange] [Privacy policy]
Mirror Sites :  [www.datasheet.hk]   [www.maxim4u.com]  [www.ic-on-line.cn] [www.ic-on-line.com] [www.ic-on-line.net] [www.alldatasheet.com.cn] [www.gdcy.com]  [www.gdcy.net]


 . . . . .
  We use cookies to deliver the best possible web experience and assist with our advertising efforts. By continuing to use this site, you consent to the use of cookies. For more information on cookies, please take a look at our Privacy Policy. X
0.89662599563599